OROP Table 67 – 2nd Life Liberalized Family Pension for JCO and ORs including Honorary Commissioned Officers of Army (Including DSC … [Read more...]
OROP Table 66 – Liberalized Dependent Pension for Single Parent for EC/SSC Officers of AMC/ADC/RVC
OROP Table 66 – Liberalized Dependent Pension for Single Parent for EC/SSC Officers of AMC/ADC/RV LIBERALISED DEPENDENT PENSION/2ND LIFE AWARD OF LIBERALISED FAMILY PENSION EC/SSC Officers of AMC/ADC/RVC (Rates for Single Parents) OROP Table 66 – … [Read more...]
OROP Table 65 – Liberalized Dependent Pension for Both Parents for EC/SSC Officers of AMC/ADC/RVC
OROP Table 65 – Liberalized Dependent Pension for Both Parents for EC/SSC Officers of AMC/ADC/RV LIBERALISED DEPENDENT PENSION/2ND LIFE AWARD OF LIBERALISED FAMILY PENSION EC/SSC Officers of AMC/ADC/RVC (Rates for both Parents) OROP Table 65 – … [Read more...]
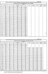
OROP Table 64 – Liberalized Dependent Pension for Single Parent for EC/SSC Officers
OROP Table 64 – Liberalized Dependent Pension for Single Parent for EC/SSC Officer LIBERALISED DEPENDENT PENSION/2ND LIFE AWARD OF LIBERALISED FAMILY PENSION EC/SSC Officers (Other than AMC/ADC/RVC (Rates for Single Parents) OROP Table 64 – … [Read more...]
OROP Table 63 – Liberalized Dependent Pension for Both Parents for EC/SSC Officers of Equivalent Ranks of Armed Forces
OROP Table 63 – Liberalized Dependent Pension for Both Parents for EC/SSC Officers of Equivalent Ranks of Armed Forces LIBERALISED DEPENDENT PENSION/2ND LIFE AWARD OF LIBERALISED FAMILY PENSION EC/SSC Officers (Other than AMC/ADC/RVC (Rates for both … [Read more...]
OROP Table 62 – Liberalized Dependent Pension for Single Parent for Commissioned Officers of MNS
OROP Table 62 – Liberalized Dependent Pension for Single Parent for Commissioned Officers of MNS LIBERALISED DEPENDENT PENSION/2ND LIFE AWARD OF LIBERALISED FAMILY PENSION Commissioned Officers of Millitary Nursing Services (Rates for Single … [Read more...]
OROP Table 61 – Liberalized Dependent Pension for Both Parents for Commissioned Officers of MNS
OROP Table 61 – Liberalized Dependent Pension for Both Parents for Commissioned Officers of MNS LIBERALISED DEPENDENT PENSION/2ND LIFE AWARD OF LIBERALISED FAMILY PENSION Commissioned Officers of Millitary Nursing Services (Rates for both … [Read more...]
OROP Table 59 – Liberalized Dependent Pension for Both Parents for Commissioned Officers of Territorial Army
OROP Table 59 – Liberalized Dependent Pension for Both Parents for Commissioned Officers of Territorial Arm LIBERALISED DEPENDENT PENSION/2ND LIFE AWARD OF LIBERALISED FAMILY PENSION Commissioned Officers of Territorial Army (Rates for both … [Read more...]
OROP Table 58 – Liberalized Dependent Pension for Single Parent for Commissioned Officers of AMC/ADC/RVC and Equivalent Ranks of Navy, Air Force
OROP Table 58 – Liberalized Dependent Pension for Single Parent for Commissioned Officers of AMC/ADC/RVC and Equivalent Ranks of Navy, Air Forc LIBERALISED DEPENDENT PENSION/2ND LIFE AWARD OF LIBERALISED FAMILY PENSION Commissioned Officers of … [Read more...]
OROP Table 57 – Liberalized Dependent Pension for Both Parents for Commissioned Officers of AMC/ADC/RVC and Equivalent Ranks of Navy, Air Force
OROP Table 57 – Liberalized Dependent Pension for Both Parents for Commissioned Officers of AMC/ADC/RVC and Equivalent Ranks of Navy, Air Forc LIBERALISED DEPENDENT PENSION/2ND LIFE AWARD OF LIBERALISED FAMILY PENSION Commissioned Officers of … [Read more...]









