OROP-2 Pension Notification 2023 The Department of Ex-servicemen Welfare (Ministry of Defence) published the OROP Table 2023 on January 20, 2023. A copy of the original Notification of OROP Pension Policy Letter No. 1(1)/2019/D(Pen/Pol)/Vol-II dated … [Read more...]
OROP Increment
OROP Increment, OROP Army Latest News, OROP Army pension, OROP Lates Updates, OROP Latest News, OROP for PBOR
OROP Table No.93 – War Injury Element for 100% Disability (Invalid out cases) of EC/SSC Officers OOF AMC/ADC/RVC
OROP Table No.93 - War Injury Element for 100% Disability (Invalid out cases) of EC/SSC Officers OOF AMC/ADC/RV Category wise 101 OROP Tables OROP Tables for JCOs and ORs & Honorary Commissioned Officers OROP Tables for JCOs and ORs of … [Read more...]
OROP 3 Pension Table No 7
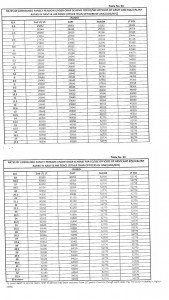
OROP-3 Pension Table Number 7 for Junior Commissioned Officer (JCO) and Other Ranks (ORs) from 1.7.2024 The Service Pension rates for Junior Commissioned Officers (JCOs) and other ranks under the One Rank One Pension - 3 (OROP-3) scheme have been … [Read more...]
OROP Pension Table 2024: One Rank One Pension -3 Pension Table Released! Check 1 to 121 Table
OROP Pension Table 2024: OROP 3 Revised Pension Table, Latest News, Arrears OROP-3 Revised Pension 121 Table PDF Download OROP Pension Table 2024: Starting July 1, 2024, a new comprehensive overhaul of pension plans designed for Armed Forces … [Read more...]
OROP Table 10 – Ordinary Family Pension (Enhanced Rate) for Regular Commissioned Officers Army and Equivalent Ranks of Armed Forces
OROP Table 10 – Ordinary Family Pension (Enhanced Rate) for Regular Commissioned Officers Army and Equivalent Ranks of Armed Force ENHANCED RATE OF ORDINARY FAMILY PENSION REGULAR COMMISSIONED OFFICERS (EXCLUDING OFFICERS OF OF … [Read more...]
OROP Table 50 – Liberalized Family Pension for EC/SSC Officers of Army and Equivalent Ranks in Army Forces
OROP Table 50 - Liberalized Family Pension for EC/SSC Officers of Army and Equivalent Ranks in Army Force LIBERALISED FAMILY PENSION EC/SSC Officers (other than AMC/ADC/RVC) Revised One Rank One Pension Table No.50 as per DESW Notification dt … [Read more...]
OROP Table 60 – Liberalized Dependent Pension for Single Parent for Commissioned Officers of Territorial Army
OROP Table 60 – Liberalized Dependent Pension for Single Parent for Commissioned Officers of Territorial Arm LIBERALISED DEPENDENT PENSION/2ND LIFE AWARD OF LIBERALISED FAMILY PENSION Commissioned Officers of Territorial Army (Rates for Single … [Read more...]
OROP Table 70 – Disability / Liberalized Disability Element for 100% Disability for Regular Commissioned Officers of Army and Equivalent Ranks in Army Forces
OROP Table 70 - Disability / Liberalized Disability Element for 100% Disability for Regular Commissioned Officers of Army and Equivalent Ranks in Army Forces DISABILITY ELEMENT Regular Commissioned Officers (Excluding Officers of … [Read more...]
OROP Table 75 – Disability / Liberalized Disability Element for 100% Disability for EC/SSC Officers of AMC/ADC/RVC and Equivalent Ranks in Army Forces
OROP Table 75 - Disability / Liberalized Disability Element for 100% Disability for EC/SSC Officers of AMC/ADC/RVC and Equivalent Ranks in Army Force DISABILITY ELEMENT EC/SSC Officers of AMC/ADC/RVC doctors OROP Table 75 – Disability / Liberalized … [Read more...]
OROP Table 80 – War Injury Element for 100% Disability (Retirement/Discharge Cases) for Commissioned Officers of AMC/ADC/RVC Equivalent Ranks of Armed Forces
OROP Table 80 - War Injury Element for 100% Disability (Retirement/Discharge Cases) for Commissioned Officers of AMC/ADC/RVC Equivalent Ranks of Armed Force WAR INJURY ELEMENT (DISCHARGE) Commissioned Officers of AMC/ADC/RVC OROP Table 80 – War … [Read more...]
- 1
- 2
- 3
- …
- 18
- Next Page »









