OROP Table 10 – Ordinary Family Pension (Enhanced Rate) for Regular Commissioned Officers Army and Equivalent Ranks of Armed Force ENHANCED RATE OF ORDINARY FAMILY PENSION REGULAR COMMISSIONED OFFICERS (EXCLUDING OFFICERS OF OF … [Read more...]
OROP Table 60 – Liberalized Dependent Pension for Single Parent for Commissioned Officers of Territorial Army
OROP Table 60 – Liberalized Dependent Pension for Single Parent for Commissioned Officers of Territorial Arm LIBERALISED DEPENDENT PENSION/2ND LIFE AWARD OF LIBERALISED FAMILY PENSION Commissioned Officers of Territorial Army (Rates for Single … [Read more...]
OROP Table 15 – Ordinary Family Pension (Enhanced Rate) for EC/SSC Officers of AMC/ADC/RVC and Equivalent Ranks of Navy, Air Force
OROP Table 15 – Ordinary Family Pension (Enhanced Rate) for EC/SSC Officers of AMC/ADC/RVC and Equivalent Ranks of Navy, Air Forc OROP Table 14 – Ordinary Family Pension (Enhanced Rate) for EC/SSC Officers of Army and Equivalent Ranks of Navy, Air … [Read more...]
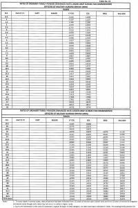
OROP Table 14 – Ordinary Family Pension (Enhanced Rate) for EC/SSC Officers of Army and Equivalent Ranks of Navy, Air Force
OROP Table 14 – Ordinary Family Pension (Enhanced Rate) for EC/SSC Officers of Army and Equivalent Ranks of Navy, Air Force OROP Table 14 – Ordinary Family Pension (Enhanced Rate) for EC/SSC Officers of Army and Equivalent Ranks of Navy, Air … [Read more...]
OROP Table 13 – Ordinary Family Pension (Enhanced Rate) for Commissioned Officers of MNS
OROP Table 13 – Ordinary Family Pension (Enhanced Rate) for Commissioned Officers of MN ENHANCED RATE OF ORDINARY FAMILY PENSION COMMISSIONED OFFICERS OF MILITARY NURSING SERVICES OROP Table 13 – Ordinary Family Pension (Enhanced Rate) for … [Read more...]
OROP Table 12 – Ordinary Family Pension (Enhanced Rate) for Commissioned Officers of Territorial Army
OROP Table 12 – Ordinary Family Pension (Enhanced Rate) for Commissioned Officers of Territorial Arm ENHANCED RATE OF ORDINARY FAMILY PENSION COMMISSIONED OFFICERS OF TERRITORIAL ARMY OROP Table 12 – Ordinary Family Pension (Enhanced Rate) for … [Read more...]
OROP Table 11 – Ordinary Family Pension (Enhanced Rate) for Commissioned Officers of AMC/ADC/RVC and Equivalent Ranks of Armed Forces
OROP Table 11 – Ordinary Family Pension (Enhanced Rate) for Commissioned Officers of AMC/ADC/RVC and Equivalent Ranks of Armed Force ENHANCED RATE OF ORDINARY FAMILY PENSION COMMISSIONED OFFICERS OF AMC/ADC/RVC OROP Table 11 – Ordinary Family … [Read more...]
OROP Table 69 – 2nd Award of Liberalized Family Pension for JCO and ORs of Territorial Army
OROP Table 69 – 2nd Award of Liberalized Family Pension for JCO and ORs of Territorial Arm LIBERALISED DEPENDENT PENSION/2ND LIFE AWARD OF LIBERALISED FAMILY PENSION JCOs/ORS of Territorial Army OROP Table 69 – 2nd Award of Liberalized Family Pension … [Read more...]
OROP Table 68 – 2nd Life Award of Liberalized Family Pension for JCO and ORs of DSC Drawing their 2nd Pension
OROP Table 68 – 2nd Life Award of Liberalized Family Pension for JCO and ORs of DSC Drawing their 2nd Pensio LIBERALISED DEPENDENT PENSION/2ND LIFE AWARD OF LIBERALISED FAMILY PENSION JCOs/ORs of DSC in receipt of 2nd Pension OROP Table 68 – 2nd … [Read more...]
OROP Table 67 – 2nd Life Award of Liberalized Family Pension for JCO and ORs of DSC Drawing their 2nd Pension 2022
OROP Table 67 – 2nd Life Award of Liberalized Family Pension for JCO and ORs of DSC Drawing their 2nd Pension LIBERALISED DEPENDENT PENSION/2ND LIFE AWARD OF LIBERALISED FAMILY PENSION JCOs/ORs including Honorary commissioned officers OROP Table 67 … [Read more...]









