OROP Pension Discrepancies : Details of Nodal Officers of respective PSA Nodal Officers : In case of any doubt relating to revision of pension in terms of these orders, PDAs may immediately take up the matter with Nodal Officers of the respective … [Read more...]
Implementation of One Rank One Pension - Announcement of OROP, OROP Notification, OROP Orders, OROP Clarifications, OROP Table
Implementation of One Rank One Pension - Announcement of OROP, OROP Notification, OROP Orders, OROP Clarifications, OROP Table
OROP Pension Calculation – Rounding of Qualifying Service
OROP Pension Calculation - Rounding of Qualifying Service Rounding of Qualifying Service : While calculating the length of qualifying service for the pensionary benefits, a fraction of a year equal to 3 months and above but less than 9 months is … [Read more...]
PCDA OROP Pension Circular 555 – PDF Download
OROP Implementation to all Defence Forces Personnel PCDA Circular 555 - PDF Download - Click Here Implementation of ‘One Rank One Pension’ to Defence pensioners A great work has been initiated by the Department of Ex-Servicemen Welfare to prepare 101 … [Read more...]
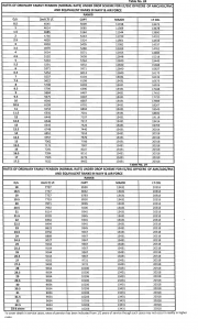
OROP Tables for PBOR and Family Pensioners
OROP Tables for PBOR and Family Pensioners OROP Tables for JCOs/ORs including Honorary commissioned officers As Per MoD Orders issued On 3.2.2016 Type of Pension & Table No. Category Retiring/Service Pension/Element Table No.7 JCOs/ORs … [Read more...]
PCDA orders on implementation of OROP to Defence Pensioners
PCDA orders on implementation of OROP to Defence Pensioners Implementation of ‘One Rank One Pension’ to Defence pensioners-PCDA OFFICE OF THE PR. CONTROLLER OF DEFENCE ACCOUNTS (PENSIONS) DRAUPADI GHAT, ALLAHABAD- 211014 Circular No. 555 Dated: … [Read more...]
OROP Table No.24 – Ordinary Family Pension for EC, SSC Officers of AMC, ADC, RVC and Equivalent Ranks in Navy, Air Force
OROP Table No.24 – Ordinary Family Pension for EC, SSC Officers of AMC, ADC, RVC and Equivalent Ranks in Navy, Air Force Normal Rate of Ordinary Family Pension EC/SSC Officers of AMC/ADC/RVC doctors OROP Table No.29 – Special Family Pension for … [Read more...]
OROP Table No.18 – Enhanced Ordinary Family Pension for JCO and ORs of DSC of Territorial Army
OROP Table No.18 – Enhanced Ordinary Family Pension for JCO and ORs of DSC of Territorial Army ENHANCED RATE OF ORDINARY FAMILY PENSION JCOs/ORs OF TERRITORIAL ARMY OROP Table No.18 – Enhanced Ordinary Family Pension for JCO and ORs of DSC of … [Read more...]
OROP Table No.17 – Enhanced Family Pension for JCO and ORs of DSC Drawing their 2nd Pension
OROP Table No.17 – Enhanced Family Pension for JCO and ORs of DSC Drawing their 2nd Pension ENHANCED RATE OF ORDINARY FAMILY PENSION JCOs/ORs OF DSC IN RECEIPT OF 2nd PENSION OROP Table No.17 – Enhanced Family Pension for JCO and ORs of DSC Drawing … [Read more...]
OROP Table No.49 – Liberalised Family Pension for Commissioned Officers of MNS
OROP Table No.49 – Liberalised Family Pension for Commissioned Officers of MNS LIBERALISED FAMILY PENSION Commisioned Officers of Millitary Nursing Services OROP Table No.49 – Liberalised Family Pension for Commissioned Officers of MNS Q.S. LT … [Read more...]
OROP Table No.48 – Liberalised Family Pension for Commissioned Officers of Territorial Army
OROP Table No.48 – Liberalised Family Pension for Commissioned Officers of Territorial Army LIBERALISED FAMILY PENSION Commisioned Officers of Millitary Nursing Services OROP Table No.48 – Liberalised Family Pension for Commissioned Officers of … [Read more...]
- « Previous Page
- 1
- …
- 6
- 7
- 8
- 9
- 10
- …
- 26
- Next Page »





