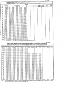
OROP Table No.47 – Liberalised Family Pension for Commissioned Officers of AMC, ADC, RVC and Equivalent Ranks in Navy, Air Force LIBERALISED FAMILY PENSION Commissioned Officers of AMC/ADC/RVC OROP Table No.47 – Liberalised Family Pension for … [Read more...]
Implementation of One Rank One Pension - Announcement of OROP, OROP Notification, OROP Orders, OROP Clarifications, OROP Table
Implementation of One Rank One Pension - Announcement of OROP, OROP Notification, OROP Orders, OROP Clarifications, OROP Table
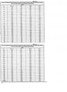
OROP Table No.46 – Liberalised Family Pension for Regular Commissioned Officers of Army and Equivalent Ranks in Navy, Air Force
OROP Table No.46 – Liberalised Family Pension for Regular Commissioned Officers of Army and Equivalent Ranks in Navy, Air Force LIBERALISED FAMILY PENSION Regular Commisiioned Officers (Excluding Officers of AMC/ADC/RVC/MNS/TA/EC/SSC) OROP Table … [Read more...]
OROP Table No.45 – 2nd Life Award of Special Pension for JCO and ORs of Territorial Army
OROP Table No.45 – 2nd Life Award of Special Pension for JCO and ORs of Territorial Army Category JCOs/ORs of Territorial Army OROP Table No.45 – 2nd Life Award of Special Pension for JCO and ORs of Territorial Army Q.S. Sepoy Hony … [Read more...]
OROP Table No.44 – 2nd Life Award of Special Pension for JCO and ORs of DSC Drawing their Second Pension
OROP Table No.44 – 2nd Life Award of Special Pension for JCO and ORs of DSC Drawing their Second Pension Category JCOs/ORs of DSC in receipt of 2nd Pension OROP Table No.44 – 2nd Life Award of Special Pension for JCO and ORs of DSC Drawing their … [Read more...]
OROP Table No.43 – Dependent Pension for JCO and ORs Including Honorary Commissioned Officers of Army and Equivalent Ranks in Navy, Air Force
OROP Table No.43 – Dependent Pension for JCO and ORs Including Honorary Commissioned Officers of Army and Equivalent Ranks in Navy, Air Force Download All 101 OROP Tables … [Read more...]
OROP Table No.42 – Dependent Pension for EC, SSC Officers of AMC, ADC, RVC and Equivalent Ranks in Navy, Air Force
OROP Table No.42 – Dependent Pension for EC, SSC Officers of AMC, ADC, RVC and Equivalent Ranks in Navy, Air Force Category EC/SSC Officers Of AMC/ADC/RVC doctors OROP Table No.42 – Dependent Pension for EC, SSC Officers of AMC, ADC, RVC and … [Read more...]
OROP Table No.41 – Dependent Pension for EC, SSC Officers of Army and Equivalent Ranks in Navy, Air Force
OROP Table No.41 – Dependent Pension for EC, SSC Officers of Army and Equivalent Ranks in Navy, Air Force EC/SSC Officers (Other than AMC/ADC/RVC) OROP Table No.41 – Dependent Pension for EC, SSC Officers of Army and Equivalent Ranks in Navy, Air … [Read more...]
OROP Table No.39 – Dependent Pension for Commissioned Officers of Territorial Army
OROP Table No.39 – Dependent Pension for Commissioned Officers of Territorial Army Special Dependent Family Pension/ 2nd Life Award of Special Family Pension Commissioned Officers of Territorial Army OROP Table No.39 – Dependent Pension for … [Read more...]
OROP Table No.38 – Dependent Pension for Commissioned Officers of AMC, ADC, RVC and Equivalent Ranks in Navy, Air Force
OROP Table No.38 – Dependent Pension for Commissioned Officers of AMC, ADC, RVC and Equivalent Ranks in Navy, Air Force Special Dependent Family Pension/ 2nd Life Award of Special Family Pension Commissioned Officers of AMC/ADC/RVC OROP Table No.38 … [Read more...]
OROP Table No.37 – Dependent Pension for Regular Commissioned Officers of Army and Equivalent Ranks in Navy, Air Force
OROP Table No.37 – Dependent Pension for Regular Commissioned Officers of Army and Equivalent Ranks in Navy, Air Forc Special Dependent Family Pension/ 2nd Life Award of Special Family Pension Regular Commissioned Officers (Excluding Officers of … [Read more...]
- « Previous Page
- 1
- …
- 7
- 8
- 9
- 10
- 11
- …
- 26
- Next Page »









