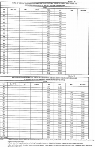
OROP Table 53 - Liberalized Family Pension for JCO and ORs of DSC Drawing their Second Pension LIBERALISED FAMILY PENSION JCOs/ORs of DSC in receipt of 2nd Pension OROP Table 53 – Liberalized Family Pension for JCO and ORs of DSC Drawing their … [Read more...]
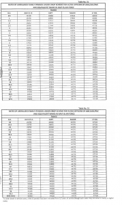
OROP Table 52 – Liberalized Family Pension for JCO and ORs including Honorary Commissioned Officers of Army including DSC and Equivalent Ranks in Army Forces
OROP Table 52 - Liberalized Family Pension for JCO and ORs including Honorary Commissioned Officers of Army including DSC and Equivalent Ranks in Army Forces LIBERALISED FAMILY PENSION JCOs/ORs including Honorary Commissioned officers OROP Table … [Read more...]
OROP Table 51 – Liberalized Family Pension for EC/SSC Officers of AMC/ADC/RVC and Equivalent Ranks in Army Forces
OROP Table 51 - Liberalized Family Pension for EC/SSC Officers of AMC/ADC/RVC and Equivalent Ranks in Army Force Category wise 101 OROP Tables OROP Tables for JCOs and ORs & Honorary Commissioned Officers OROP Tables for JCOs and ORs of … [Read more...]
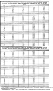
OROP Table 77 – Disability / Liberalized Disability Element for 100% Disability for JCO and Other Ranks of DSC Drawing their 2nd Pension
OROP Table 77 - Disability / Liberalized Disability Element for 100% Disability for JCO and Other Ranks of DSC Drawing their 2nd Pensio DISABILITY ELEMENT JCOs/ORs of DSC in receipt of 2nd Pension OROP Table 77 – Disability / Liberalized Disability … [Read more...]
OROP Table 71 – Disability / Liberalized Disability Element for 100% Disability for Commissioned Officers of AMC/ADC/RVC and Army and Equivalent Ranks in Army Forces
OROP Table 71 - Disability / Liberalized Disability Element for 100% Disability for Commissioned Officers of AMC/ADC/RVC and Army and Equivalent Ranks in Army Force DISABILITY ELEMENT Commissioned Officers of AMC/ADC/RVC OROP Table 71 – Disability / … [Read more...]
OROP Table 72 – Disability / Liberalized Disability Element for 100% Disability for Commissioned Officers of Territorial Army
OROP Table 72 - Disability / Liberalized Disability Element for 100% Disability for Commissioned Officers of Territorial Arm DISABILITY ELEMENT Commissioned Officers of Territorial Army OROP Table 72 – Disability / Liberalized Disability Element for … [Read more...]
OROP Table 73 – Disability / Liberalized Disability Element for 100% Disability for Commissioned Officers of MNS Service
OROP Table 73 - Disability / Liberalized Disability Element for 100% Disability for Commissioned Officers of MNS Servic DISABILITY ELEMENT Commissioned Officers of Millitary Nursing Services OROP Table 73 – Disability / Liberalized Disability … [Read more...]
OROP Table 74 – Disability / Liberalized Disability Element for 100% Disability for EC/SSC Officers of Army and Equivalent Ranks in Army Forces
OROP Table 74 - Disability / Liberalized Disability Element for 100% Disability for EC/SSC Officers of Army and Equivalent Ranks in Army Force DISABILITY ELEMENT EC/SSC Officers (other than AMC/ADC/RVC) OROP Table 74 – Disability / Liberalized … [Read more...]
OROP Table 76 – Disability / Liberalized Disability Element for 100% Disability for JCO and Other Ranks Including Honorary Commissioned Officers of Army
OROP Table 76 - Disability / Liberalized Disability Element for 100% Disability for JCO and Other Ranks Including Honorary Commissioned Officers of Arm EC/SSC Officers of AMC/ADC/RVC doctors JCOs/ORs including Honorary Commissioned officers OROP … [Read more...]
OROP Table 78 – Disability / Liberalized Disability Element for 100% Disability for JCO and Other Ranks of Territorial Army
OROP Table 78 - Disability / Liberalized Disability Element for 100% Disability for JCO and Other Ranks of Territorial Arm DISABILITY ELEMENT JCOs/ORs of Territorial Army OROP Table 78 – Disability / Liberalized Disability Element for 100% … [Read more...]









