OROP Table 79 - War Injury Element for 100% Disability (Retirement/Discharge Cases) for Regular Commissioned Officers of Equivalent Ranks of Armed Force WAR INJURY ELEMENT (DISCHARGE) Regular Commissioned Officers (Excluding Officers Of … [Read more...]
OROP Table 81 – War Injury Element for 100% Disability (Retirement/Discharge Cases) for Commissioned Officers of Territorial Army
OROP Table 81 - War Injury Element for 100% Disability (Retirement/Discharge Cases) for Commissioned Officers of Territorial Arm Commissioned Officers of AMC/ADC/RVC Commissioned Officers of Territorial Army OROP Table 81 – War Injury Element for … [Read more...]
OROP Table 82 – War Injury Element for 100% Disability (Retirement/Discharge Cases) for Commissioned Officers of MNS
OROP Table 82 - War Injury Element for 100% Disability (Retirement/Discharge Cases) for Commissioned Officers of MN CATEGORY Commissioned Officers of Military Nursing Services OROP Table 82 – War Injury Element for 100% Disability … [Read more...]
OROP Table 83 – War Injury Element for 100% Disability (Retirement/Discharge Cases) for EC/SSC/Officers of Army Ranks
OROP Table 83 - War Injury Element for 100% Disability (Retirement/Discharge Cases) for EC/SSC/Officers of Army Rank EC/SSC Officers (Other than AMC/ADC/RVC) OROP Table 83 – War Injury Element for 100% Disability (Retirement/Discharge Cases) for … [Read more...]
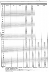
OROP Table 84 – War Injury Elementfor 100% Disability (Retirement/Discharge Cases) for EC/SSC/Officers of AMC/ADC/RVC and Army Ranks
OROP Table 84 - War Injury Elementfor 100% Disability (Retirement/Discharge Cases) for EC/SSC/Officers of AMC/ADC/RVC and Army Rank CATEGORY EC/SSC Officers of AMC/ADC/RVC doctors OROP Table 84 – War Injury Elementfor 100% Disability … [Read more...]
OROP Table 86 – War Injury Element (Discharged) for 100% Disability for JCO and ORs of DSC Drawing 2nd Pension
OROP Table 86 - War Injury Element (Discharged) for 100% Disability for JCO and ORs of DSC Drawing 2nd Pensio CATEGORY JCOs/ORs of DSC in receipt of 2nd Pension OROP Table 86 – War Injury Element (Discharged) for 100% Disability for JCO and ORs of … [Read more...]
OROP Table 87 – War Injury Element for 100% Disability (Invalid Out Cases) for JCO and ORs of Territorial Army
OROP Table 87 - War Injury Element for 100% Disability (Invalid Out Cases) for JCO and ORs of Territorial Arm CATEGORY JCOs/ORs of Territorial Army OROP Table 87 – War Injury Element for 100% Disability (Invalid Out Cases) for JCO and ORs of … [Read more...]
OROP Table 89 – War Injury Element for 100% Disability (Invalid Out Cases) for Commissioned Officers of AMC/ADC/RVC
OROP Table 89 - War Injury Element for 100% Disability (Invalid Out Cases) for Commissioned Officers of AMC/ADC/RV Category wise 101 OROP Tables OROP Tables for JCOs and ORs & Honorary Commissioned Officers OROP Tables for JCOs and ORs of … [Read more...]
OROP Table No.91 – War Injury Element for 100% Disability (Invalid out cases) for Commissioned Officers and MNS
OROP Table No.91 - War Injury Element for 100% Disability (Invalid out cases) for Commissioned Officers and MN Category wise 101 OROP Tables OROP Tables for JCOs and ORs & Honorary Commissioned Officers OROP Tables for JCOs and ORs of DSC … [Read more...]
OROP Table No.92 – War Injury Element for 100% Disability (Invalid out cases) of EC/SSC Officers of Armed Forces
OROP Table No.92 - War Injury Element for 100% Disability (Invalid out cases) of EC/SSC Officers of Armed Force Category wise 101 OROP Tables OROP Tables for JCOs and ORs & Honorary Commissioned Officers OROP Tables for JCOs and ORs of … [Read more...]









